Skip to content
Celtic DCH

Celtic DCH

  • About Us
    • FAQ
    • Membership
    • Training
    • Gallery
  • Resources
    • DCH Club History
    • Race Day Planning
    • Drills
    • Warm Up 101
    • Race Day Checklist
  • Dublin City Harriers
  • Contact Us

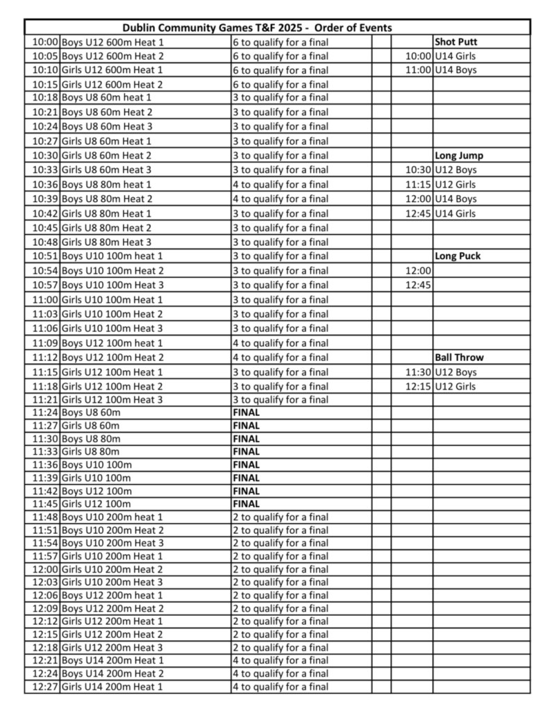
Latest timetable for santry today

May 31, 2025 by CelticDCH Athletic Club, posted in Uncategorized

Share this:

  • Share on Facebook (Opens in new window) Facebook
  • Share on X (Opens in new window) X
  • Share on LinkedIn (Opens in new window) LinkedIn
  • More
  • Share on Reddit (Opens in new window) Reddit
Like Loading...

Related

Post navigation

Previous postTraining /competition this week
Next postResults update

Proudly Supported By

Like us on Facebook

Like us on Facebook

Celtic DCH Gym Playlist

Latest News

  • Competition/training this week April 24, 2026
  • Car Parking Information League 1 April 22, 2026
  • Dublin Juvenile T&F Championships April 20, 2026
  • Training this week April 17, 2026

Competition Details

  • Dublin Athletics Board – Graded Meetings Booklet

Links

  • AAI
  • Club Membership Form
  • Dublin Athletics Board
  • Flotrack Videos of T&F
  • IAAF
  • IUAA
  • Lets Run
  • Location of Club Training Meeting Places
  • UK Athletics

Contact

Navan Road, Dublin 7
celticdch@gmail.com
Create a website or blog at WordPress.com
  • Reblog
  • Subscribe Subscribed
    • Celtic DCH
    • Already have a WordPress.com account? Log in now.
    • Celtic DCH
    • Subscribe Subscribed
    • Sign up
    • Log in
    • Copy shortlink
    • Report this content
    • View post in Reader
    • Manage subscriptions
    • Collapse this bar
 

Loading Comments...
 

    %d